第 1 頁 (共 1 頁)
駭客數學題庫光碟Ch9 P3,4
發表於 : 2014年 3月 1日, 15:25
由 hwm0219

- 圖片1.png (15.51 KiB) 已瀏覽 9953 次
Re: 駭客數學題庫光碟Ch9 P3,4
發表於 : 2014年 3月 1日, 20:42
由 thepiano
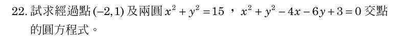
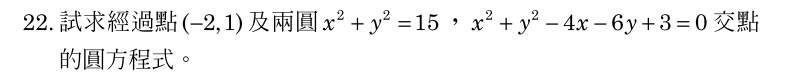
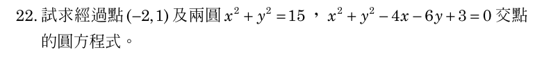
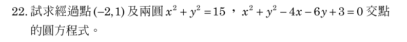
第 22 題
令所求為 x^2 + y^2 - 15 + k(x^2 + y^2 - 4x - 6y + 3) = 0
x = -2,y = 1 代入可求出 k = 1
x^2 + y^2 - 15 + x^2 + y^2 - 4x - 6y + 3 = 0
x^2 + y^2 - 2x - 3y - 6 = 0
第 38 題
x^2/2^2 - y^2/4^2 = 1
a = 2,b = 4
(A) 正焦弦長 = 2b^2/a = 32/2 = 16
(B) c^2 = a^2 + b^2 = 20
c = 2√5
焦點為 (2√5,0) 和 (-2√5,0)
(C) 貫軸長 = 2a = 4
(D) 頂點 (2,0) 和 (-2,0)
Re: 駭客數學題庫光碟Ch9 P3,4
發表於 : 2014年 3月 1日, 22:19
由 hwm0219
老師!非常謝謝
