第 1 頁 (共 1 頁)
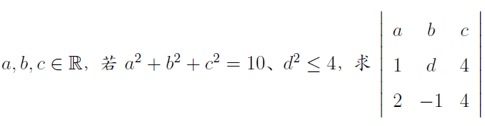
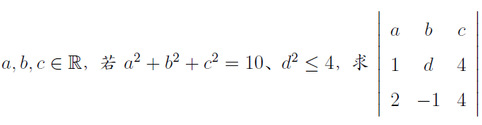
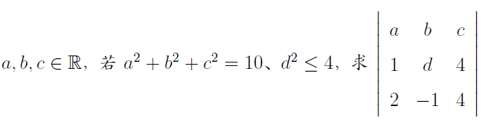
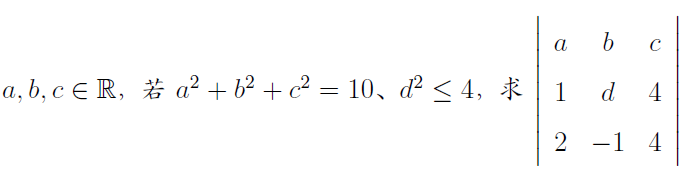
【行列式】
發表於 : 2018年 7月 8日, 23:38
由 huanghs

- 7.PNG (10.17 KiB) 已瀏覽 14805 次
Re: 【行列式】
發表於 : 2018年 7月 9日, 11:02
由 thepiano
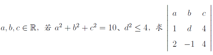
應是求最大值
d^2 ≦ 4,-2 ≦ d ≦ 2
(1,d,4) 和 (2,-1,4) 兩向量所張的平行四邊形面積 = √(20d^2 + 36d + 33)
當 d = 2 時,有最大值 √185
所求為 (1,d,4)、(2,-1,4)、(a,b,c) 三向量所張的平行六面體體積的最大值
= √185 * √10 = 5√74