第 1 頁 (共 1 頁)
對數[謝謝老師]
發表於 : 2018年 12月 17日, 18:29
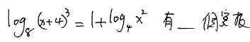
由 LATEX

- 777.GIF (2.7 KiB) 已瀏覽 19465 次
Re: 對數
發表於 : 2018年 12月 17日, 22:21
由 thepiano
4 和 -4/3 這 2 個實根
Re: 對數
發表於 : 2018年 12月 17日, 22:35
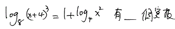
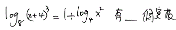
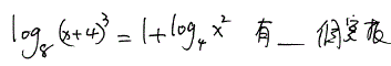
由 LATEX

- 777.jpg (130.44 KiB) 已瀏覽 19451 次
Re: 對數
發表於 : 2018年 12月 17日, 22:56
由 thepiano
第二式右邊
1 + log(±x) (以 2 為底)