第 1 頁 (共 1 頁)
[代數][謝謝老師]
發表於 : 2017年 8月 21日, 17:34
由 LATEX
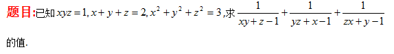
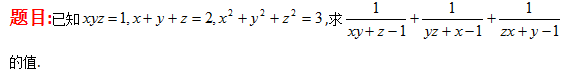
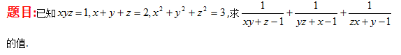
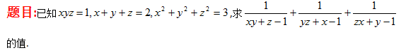
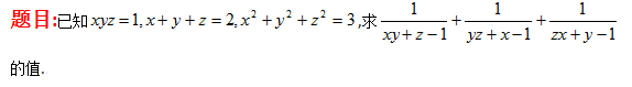
代數

- 20170821152519.png (3.72 KiB) 已瀏覽 11990 次
Re: [代數]
發表於 : 2017年 8月 21日, 21:42
由 thepiano
x + y + z = 2
xy + yz + zx = 1/2
xyz = 1
x、y、z 是 t^3 - 2t^2 + t/2 - 1 = 0 之三根
t = 2、(1/√2)i、(-1/√2)i
剩下的就簡單了
Re: [代數]
發表於 : 2017年 8月 22日, 09:29
由 LATEX
可以問一下怎麼帶進去 ?
Re: [代數]
發表於 : 2017年 8月 22日, 15:34
由 thepiano
x = 2
y = (1/√2)i
z = (-1/√2)i
代入求值式